珍本聖經數位典藏

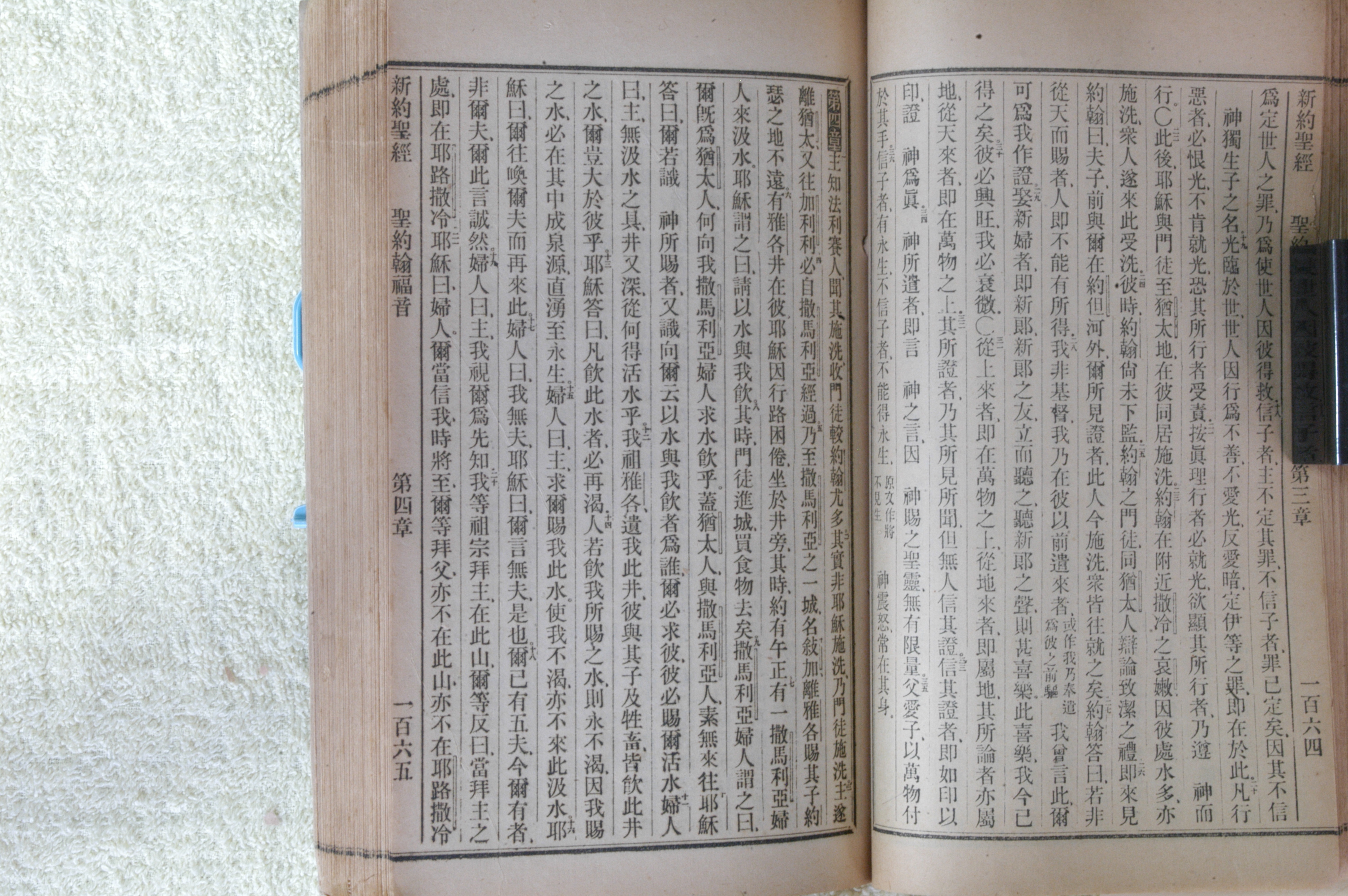
1895年新約全書 約翰福音 3 章 到 4 章

(按圖可以看高解析度照片) 封面 上一頁 下一頁 回珍本聖經數位典藏計劃首頁

回珍本聖經數位典藏計劃首頁