珍本聖經數位典藏

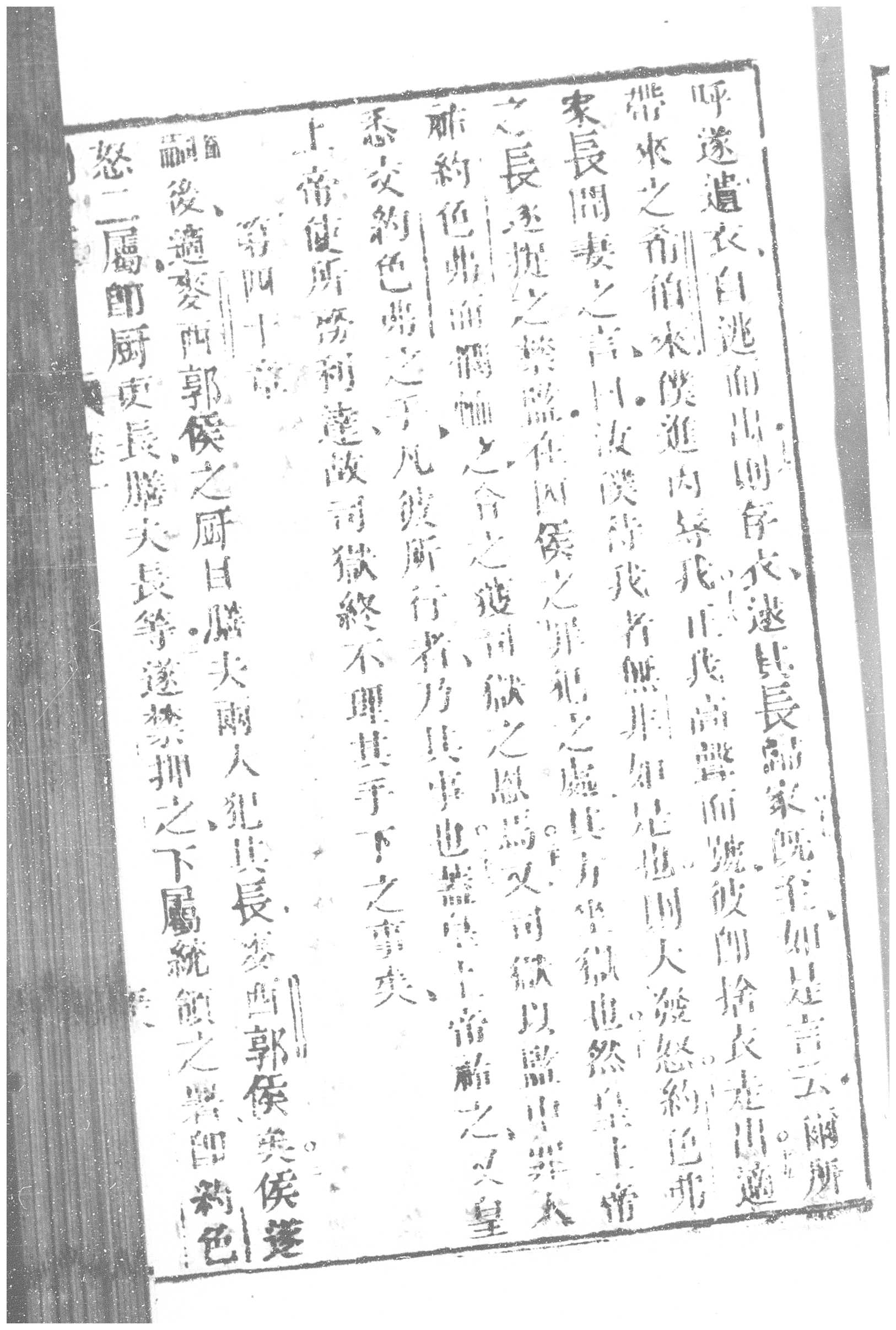
1853年欽定舊遺詔圣書卷之一 創世記 39 章 16 節到 40 章 3 節

(按圖可以看高解析度照片) 封面 上一頁 下一頁 回珍本聖經數位典藏計劃首頁

回珍本聖經數位典藏計劃首頁