珍本聖經數位典藏

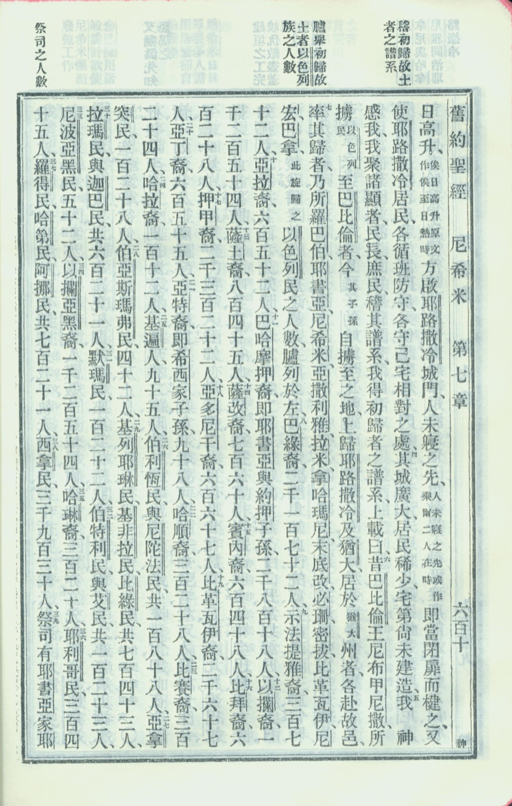
1913年新舊約全書 尼希米記 7 章 3 節到 7 章 38 節

(按圖可以看高解析度照片) 封面 上一頁 下一頁 回珍本聖經數位典藏計劃首頁

回珍本聖經數位典藏計劃首頁