珍本聖經數位典藏

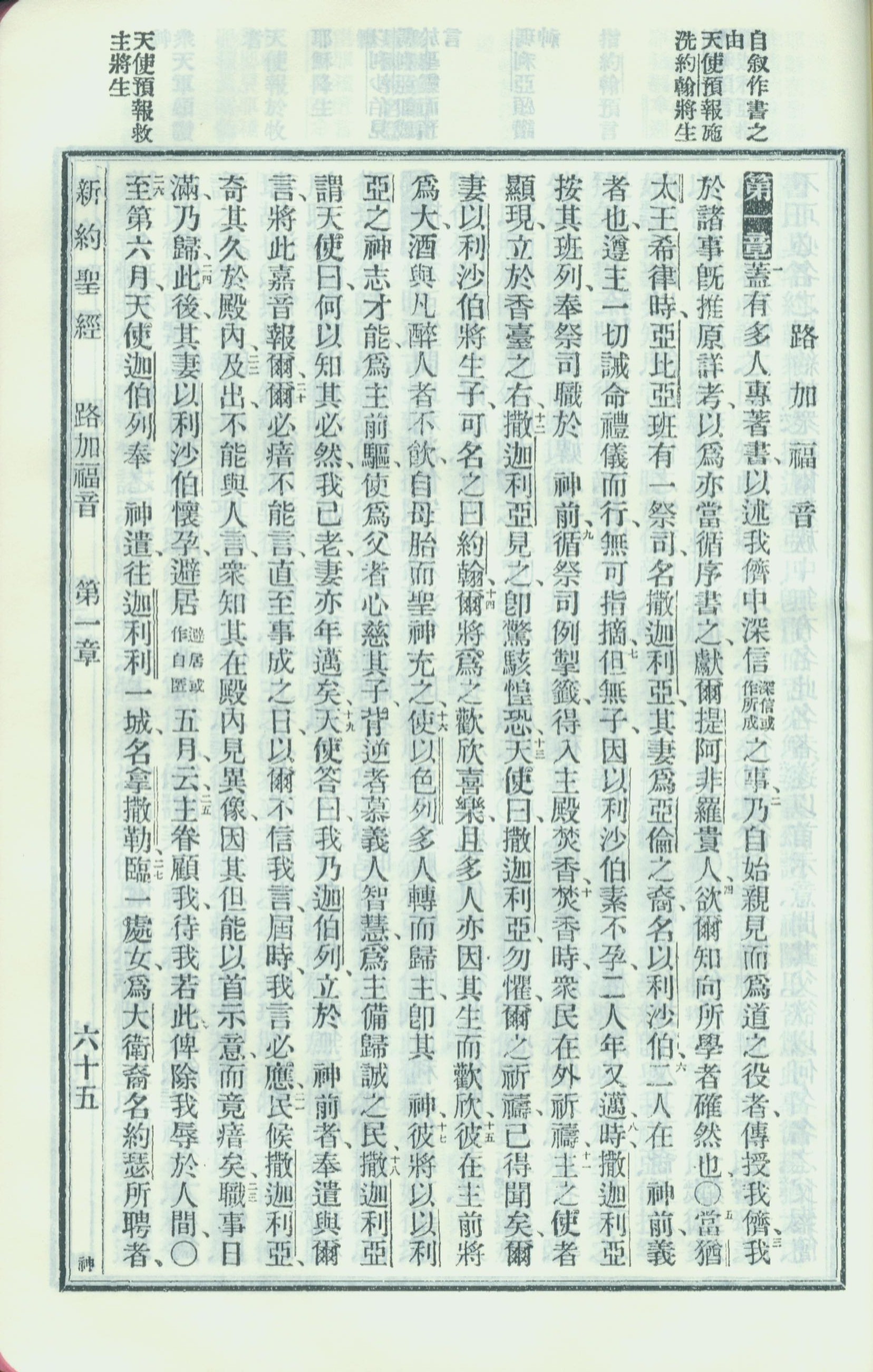
1913年新舊約全書 路加福音 1 章 1 節到 1 章 27 節

(按圖可以看高解析度照片) 封面 上一頁 下一頁 回珍本聖經數位典藏計劃首頁

回珍本聖經數位典藏計劃首頁