珍本聖經數位典藏

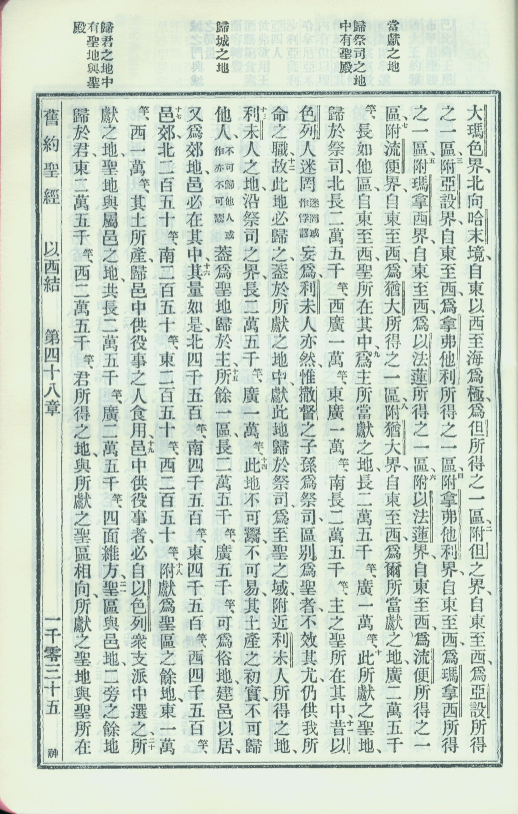
1913年新舊約全書 以西結書 48 章 2 節到 48 章 21 節

(按圖可以看高解析度照片) 封面 上一頁 下一頁 回珍本聖經數位典藏計劃首頁

回珍本聖經數位典藏計劃首頁