珍本聖經數位典藏

1927年新舊約全書(委辦譯本) 歷代志上 1 章 1 節到 1 章 45 節

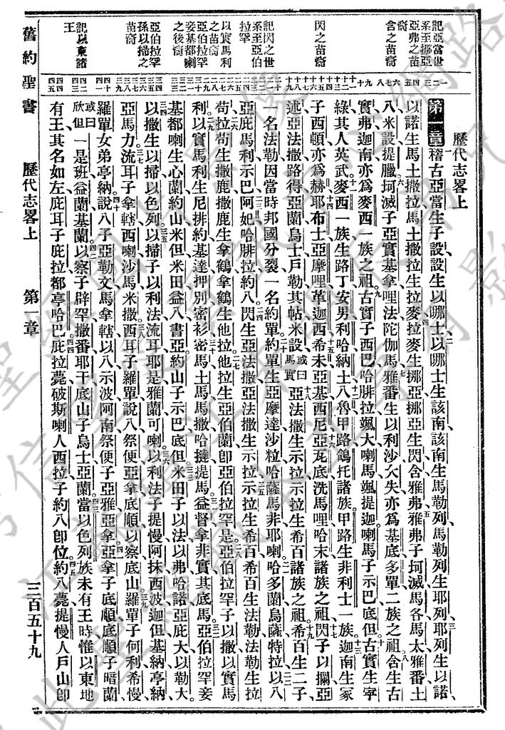
(按圖可以看高解析度照片) 封面 上一頁 下一頁 回珍本聖經數位典藏計劃首頁

回珍本聖經數位典藏計劃首頁