珍本圣经数位典藏

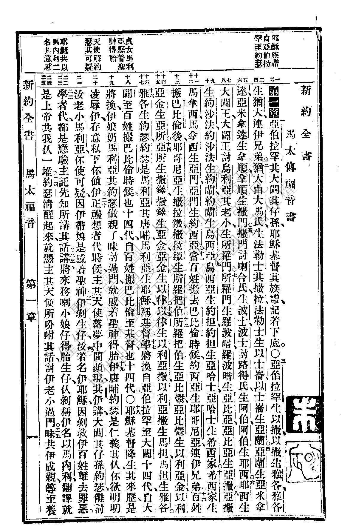
1937年福州土腔圣经 马太福音 1 章 1 节到 1 章 25 节

(按图可以看高解析度照片) 封面 上一页 下一页 回珍本圣经数位典藏计划首页

回珍本圣经数位典藏计划首页