珍本圣经数位典藏

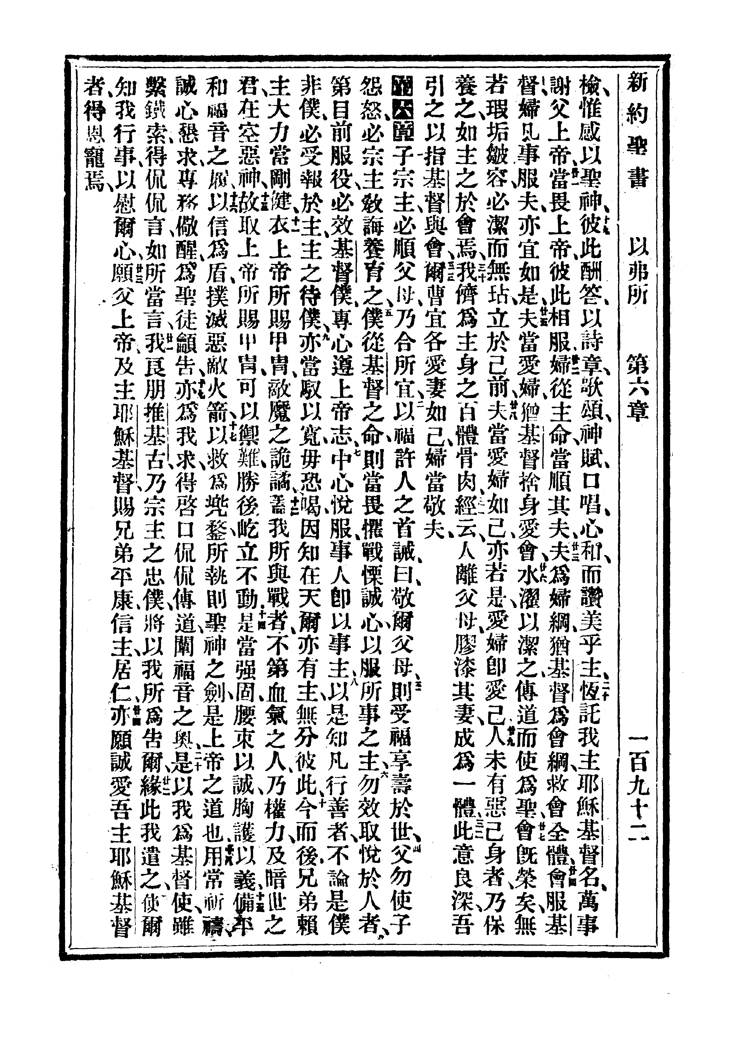
1910年委办译本 以弗所书 5 章 19 节到 6 章 24 节

(按图可以看高解析度照片) 封面 上一页 下一页 回珍本圣经数位典藏计划首页

回珍本圣经数位典藏计划首页