珍本圣经数位典藏

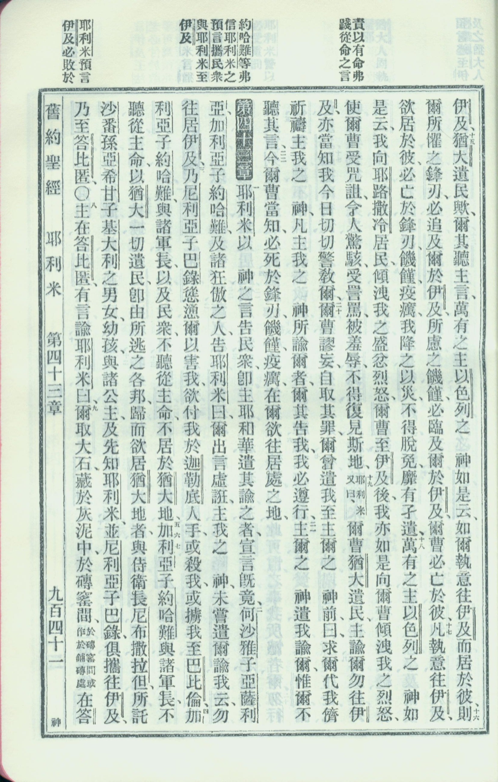
1913年新旧约全书 耶利米书 42 章 15 节到 43 章 9 节

(按图可以看高解析度照片) 封面 上一页 下一页 回珍本圣经数位典藏计划首页

回珍本圣经数位典藏计划首页