珍本圣经数位典藏

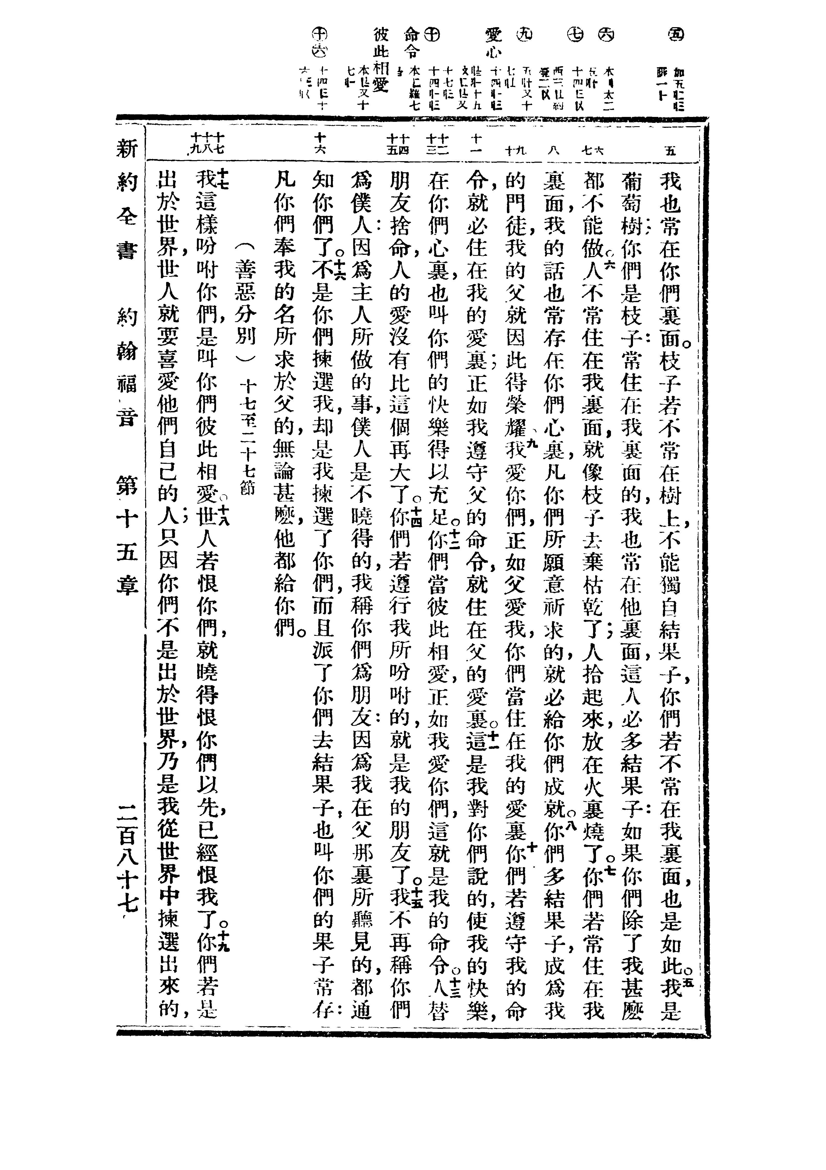
1936年重译新约全书 约翰福音 15 章 5 节到 15 章 19 节

(按图可以看高解析度照片) 封面 上一页 下一页 回珍本圣经数位典藏计划首页

回珍本圣经数位典藏计划首页